24小時聯系電話:18217114652、13661815404
中文
行業資訊
參數放大器電路仿真與應用
參數放大器電路如何工作
參數放大器電路提供輸入模擬信號的可調放大和上/下轉換。這是通過將第二個正弦信號(稱為泵信號)施加到非線性電抗電路元件來完成的。泵浦信號使非線性電路元件的電抗以與泵浦信號頻率相同的頻率呈正弦變化。
如果“非線性電抗電路元件”的概念含糊不清,請記住您有兩個選擇:
鐵氧體電感器或變壓器在磁化飽和下運行
甲變容二極管,其具有電容是二極管兩端的電壓降的非線性函數
鐵氧體需要在高磁場(即輸入電流)下運行才能達到飽和。結果,變容二極管通常用于參數放大器電路中以提供非線性電抗。原則上,對輸入電壓/電流具有非線性電抗的任何組件都可以在參數放大器電路中使用?;镜膮捣糯笃麟娐啡缦滤?。
簡單的參數放大器電路
在上面的電路中,變容二極管是元件C3。該RLC電路的腿在泵和輸入信號可以被設計為欠阻尼,所以泵和輸入信號會產生一定的諧振。這允許通過簡單地調整輸入和泵浦頻率來改變變容二極管上的電容調制。
根據基爾霍夫電壓定律,由于輸入源,其RLC支路,R2和C3形成閉環,因此該環路形成了一個具有固有頻率和阻尼的周期性調制的阻尼振蕩器。這種類型的系統稱為參量振蕩器,通過阻尼Mathieu方程進行描述。
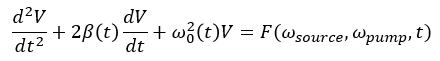
阻尼Mathieu方程
取決于參量放大器電路的拓撲,隨著泵浦信號的振蕩,阻尼,固有頻率或兩者都可能呈正弦變化。在仿真參數放大器電路時,SPICE仿真器的作用是在時域中求解阻尼的Mathieu方程。
阻尼Mathieu方程是一個描述具有正弦變化參數的振蕩器的通用方程,它可用于力學,人口動力學,量子力學,經濟學和天體物理學。阻尼Mathieu方程如下所示:
參數放大器電路的阻尼Mathieu方程。
注意,由于電路參數都可以是兩個電壓源的函數,兩個電壓源都隨時間振蕩,因此出現上式中的時間相關性。該電路的目的是通過調節泵浦信號的幅度和/或頻率來放大(或減?。┹斎胄盘?。
上面的參數放大器電路將通過混頻產生高次諧波和低次諧波。這些諧波在C3處產生,并輸出到惰輪電路中。僅通過使用非線性電抗組件(上面的變容二極管)進行混頻。電路產生的每個諧波以及每個組件的增益在下面的公式中定義。

上圖所示的參數放大器電路的輸出頻率和增益。
惰輪電路接收C3產生的所有頻率。惰輪電路的目的是提供帶通濾波。最后,惰輪電路提供帶通濾波,然后輸出所需的頻率。

